お知らせ

3年理科 休校中の課題のページ



学校再開時の理科の持ち物に教科書が含まれますが、2年の教科書も3年の教科書も持ってきてください。

→完結していない静電気の単元について、教科書読み合わせと板書をします。1時間目の内容は、以下を予定しています。
 ① 3年生の学習について
 ② 静電気の単元の板書
 ③ 静電気の単元の教科書読み合わせ
 ④ 静電気の単元の映像コンテンツによるまとめ、確認
 ⑤ 3年の教科書の全体を見てみる

2週目の課題 1週目の課題

5月25日の週

4時間目

本時の目標
 速さ、仕事、仕事率の求め方を身に付ける!
 →この単元のおさらいも兼ねて、マスターしておきましょう。
 1、2週目の答え合わせをする!
 →どのような考え方をすればよいか、どこに注目すればよいか、といったことについて、改めて確認しましょう。

この課題の出題意図
 休校期間の最後の課題はパズルで、ということで、クロスワードパズルにしてみました。クロスワードの特徴として、他のカギがヒントになるということが挙げられます。つまり、計算の答えが正しければ、すべてのマスに問題なく数字が入るわけで、自分で正誤が判定できます。
 答え合わせについては、1週目の添削を踏まえて追加した課題です。提出されたプリントを見てみて、これから学習する単元でありながら、頑張って取り組んでいる様子が存分にうかがえました。中でも、瞬間の速さのグラフの問題はあの手この手で工夫して意欲的に取り組んだ人が多かったようです。取り組んだからには正解も気になるかと思いましたので、解説も添えて、載せてみました。

課題1
 下のクロスワードパズルを解いてください。1マスに数字1文字または小数点が入ります。なお、単位は含みません。

 ヨコのカギ
  ① 1045〔km〕を5〔h〕かけて移動するときの平均の速さ
  ⑦ 平均の速さ1.2〔m/s〕で6.96〔m〕移動するのにかかる時間
  ④ 平均の速さ11.86〔km/s〕で50〔s〕の間に移動する距離

 タテのカギ
  ① 力の大きさ17〔N〕で15〔m〕移動させたときの仕事の大きさ
  ⑥ 距離10〔m〕を移動させて9〔J〕の仕事をするのに必要な力の大きさ
  ② 力の大きさ5〔N〕で4915〔J〕の仕事をするのに必要な移動距離

 ナナメのカギ
  ① 11.5〔J〕の仕事を5〔s〕でするときの仕事率
  ② 10〔W〕の仕事率で95〔N〕の仕事をするのにかかる時間

課題1のおまけ
 このおまけは取り組んでも取り組まなくても構いません。
 上のクロスワードでは、①から⑨の数字と小数点を番号順に並べると、次に学習する単元に関係のある数字になります。それは何でしょうか?(数字が正しければ、そのまま検索すれば言葉自体は必ず出てきます。ただ、説明できるようにするためには、その言葉の意味も調べなければいけませんよ!)

課題2
 ここまでの課題のうち、1週目と2週目の、正解があるもの(主に、実験ではないもの)の正答と解説を以下に載せました。これを熟読しましょう。

 え?ちゃんと読まなくてもバレないんじゃないかって?いえいえ、勉強はアフターケアが大事です。しっかり読めば、これまでの学習が学びとして定着します。手を抜けば、これまでの学習はただの苦役に終わります。

 <1週目 1時間目>
  課題1 速さも向きも変わらない運動→正攻法で答えるなら、「パレード」あたりがよいかと思います。パレードは一定の速さで(誰もいない区間を爆走してたら怖い)直進(たぶんそう簡単には向きは変えられない)しているからです。また、別の答えとして、「お化け屋敷」も考えられます。なぜなら、建物は速さ0のまま変化しないからです。みなさんの解答には「メリーゴーラウンド」が多かったですが、上から見ると円運動なので、観覧車と同じで向きは変化しています。
      速さは変わるが向きは変わらない運動→一般的なのは、「フリーフォール」あたりでしょうか。ただし、落下中限定です。その条件で考えるなら、「バンジージャンプ」もOKです。これらは、「自由落下」と呼ばれる運動です。
      速さも向きも変わる運動→答えやすいのは「ジェットコースター」ですね。そのほか、「パイレーツ」(海賊船が揺れるヤツ)、「コーヒーカップ」もOKです。
  課題2 観覧車の前半と後半で分けてみましょう。下図のようになります。

      前半では上向き、後半では下向きになっています。ちなみに、赤線で書いたのは「接線」と呼ばれる線で、高校数学で学習する「微分」という計算によって求まります。

 <1週目 2時間目>
  課題1 それぞれ、駅と考え方を説明しましょう。
      区間A→柴崎体育館から甲州街道。まず、最も時間がかかる区間です。そしてグラフの形としては途中で減速がみられること、その前後では加速していることが挙げられます。一般的に、減速はカーブか上り坂加速は直線か下り坂で起こります。そのため、途中(しかもちょうど真ん中)でカーブのある区間ということになります。該当箇所は柴崎体育館から甲州街道の間で、90°の急カーブがあるのが特徴です。
      区間B→立飛から高松。この区間は難しいので、解答を最後にしたほうがいいかもしれません。時間が短い区間、となるのですが、区間Dと似ているため、それぞれ逆に答えた人も多かったですね。根拠としては、グラフが滑らかでないことが挙げられます。区間Dは後述のように滑らかになるので。なお、「途中にポイントがあるから」と考えた人もいました。計測時に確認はしていませんが、なかなかよい考えだと思います。
      区間C→立川北から立川南。非常に短時間で到着する区間なので、比較的わかりやすかったと思います。ちなみに、区間Dとの違いは、速さがそんなに速くなっていないことなのですが、それは立川北から立川南の間がS字カーブになっていることが原因です。
      区間D→立川南から柴崎体育館。ここも比較的短時間で到着する区間なのですが、区間Cとの違いは、区間Cに比べて加速していることが挙げられます。この区間は直線でなおかつわずかに下っています。最初の急加速は、これが原因です。また、変化の少ない区間なので、グラフは単純に上下する滑らかなグラフとなります。
      区間E→高松から立川北。難易度はやや高めです。この区間は発射直後にカーブがあるため、一度ゆっくりめで走行したあと、直線で加速しています。また、立川北直前にわずかな上りがあるため、再び速度を控えめにしています。駅間の時間がやや長めなのも特徴です。
      なお、泉体育館から立飛と甲州街道から万願寺の間は、それぞれ以下のようになります。なぜそのようなグラフになるのかは、ぜひ自分で考えてみましょう。


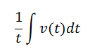
      ところで、解き方にはみなさんの努力が表れていて、感心しました。多かったのは、平均の速さを求めて、時間から距離を算出する方法でしょうか。そこまで計算せずに、時間と距離を比例させて考えている人もいましたね。ただ、たとえ駅間の所要時間が短くても、距離が近いとは限りません(区間Cと区間Dがその例)。図のグラフから距離を求めるには、実際にはグラフと横軸の間の面積(単調な速度計のデータの場合、台形に似た形の部分)を計算します。さらに、前述の瞬間の速さから平均の速さを求めるのは本来は難しく、単純に足して割るというわけにはいきません。参考までに、瞬間の速さのグラフから平均の速さを求める式は、以下のようになります。

      tは時間、v(t)は速さのグラフを表します。途中のSを縦に伸ばしたような形の記号は「インテグラル」といって、高校2年から3年で学習する「積分」という計算で、後ろのdtとセットにして使います。ちなみに、いかにもハイレベルそうな数学記号を使った式ですが、計算自体は簡単で、決まりがわかれば、基本の問題はみなさんでも十分解くことができます。
  課題2 速度計で記録されるのは、「瞬間の速さ」です(教科書p.115)。

 <1週目 3時間目から2週目 4時間目>
  実験なので、授業の中でまとめていきます。ただし、1週目3時間目の実験は比例、2週目3時間目の実験も比例のグラフになります。



3時間目

本時の目標
 仕事と仕事率の意味を理解する!
 →前回の実験が伏線になっています(ただし、前回の実験結果とは関係がない)。また、エネルギーの移り変わりについても、少し触れておきます。

この課題の出題意図
 前々回の課題同様、仕事の原理も、「知識としては暗記しているが、その意味するところを理解しきれていない」といったことが起こり得ます。そこで、仕事とは何かや仕事率とはどのような関係があるのかといったことを、この課題を通して身に付けてもらえればと思います。日常生活の場面と関連付けることで、少し理解の助けにもなるのではないでしょうか。

課題1
 立川からも比較的アクセスしやすい高尾山は、登山口と山頂の高低差400mと、無理なく登れる高さの山です。登山道も整備され、山頂へアプローチするルートも複数あります。
 →公式ホームページによる登山コースの紹介
  このいくつかある登山道のうち、同じ条件(高尾山口から山頂へ至るルート)のものを比較してみます(距離、時間は山岳雑誌のウェブページによる)。
 A 1号路(表参道コース) 距離 3.8km 時間 100分
 B 6号路(琵琶滝コース) 距離 3.3km 時間 90分
 C 稲荷山コース見晴らし尾根コース) 距離 3.1km 時間 90分
 さて、前回の実験で、「おもりを引く力が小さくて済む場合は半分しか持ち上げられない」ということが体感できたのではないでしょうか?つまり、「力を小さくするならひもを引く長さを2倍にしなければならない」ということを意味し、結局、楽はできないことになります。そして、これを「仕事の原理」と言います(教科書p.156も見ましょう)。一方、必要な仕事(エネルギー)は変わらないのに道具を使うのは、仕事の効率(仕事率)が違ってくるからです(やはり教科書p.156)。
 話を高尾山に戻しましょう。高尾山口から山頂まで、体重50kgの人が高低差400mを登るのに必要な仕事の大きさは200000Jです(計算の仕方は教科書p.149参照)。これはA、B、Cのどのルートを通っても変わりません(仕事の原理)。
 前置きが長くなりましたが、みなさんなら、A、B、Cのどのルートを通って山頂に行きたいですか?仕事と仕事率から考えて、説明してください(つまり、見晴らしとかトイレの有無とかそういった理由ではない)。
 なお、この問題には正解がありません。仕事率が高いルートがすべての人にとって最もよいルートというわけではないので注意しましょう。

課題2
 公式のルートマップを見た人であれば気づいたかと思いますが、高尾山には、ケーブルカーなどの公共交通機関があります。当然、ケーブルカーを使えば、あまり疲れずに山頂まで行くことができます。しかし、体重50kgの人なら400m登るのに200000J必要だという仕事の原理は絶対です。それでも、楽なことには違いありません。これはどういうことか、説明してください。


2時間目

本時の目標
 滑車のはたらきと仕事の原理を実験で確かめる!
 →この実験も、授業での実施は割愛します。

この課題の出題意図
 この実験は、教科書では滑車とニュートンはかりを使って行うことになっています。しかし、車輪状の滑車でなくても十分実験できますし、正確な値を測らなくても体感できるものです。さらに、その「体感」もはっきりしているので、これまでの実験に比べて納得のいくものになると思います(先生は理科室で独り感嘆した)。
 授業では、道具のセッティングや記録をとるのに精一杯で「物理的な違いを実感する」ところまで達成できないことも多いでしょう。この一連の課題では、せっかくの一人実験ですから、ぜひじっくり取り組んで実感してもらいたいと思います。

課題
 定滑車と動滑車を使ったときの力、移動距離を比較します。
 準備するもの
 ・ひもA(両手を広げた長さぐらい)
 ・ひもB(30cm程度)
  →ひもAと同じ材質のものでOK。
 ・おもり×2
  →同じ重さのおもりが必要です。ペットボトルが最適。同じ容量で未開封なら、銘柄が違ってもOKです。もちろん、ペットボトルにこだわる必要はありませんが、ある程度の質量があった方が結果を体感しやすくなります。
 ・ひもを掛ける場所
  →説明に使っている写真は、ドアノブを利用しています。

 手順
 Ⅰ 定滑車バージョンの実験
 ① ひもAを使って、おもりをつなぎます。
 ② ひもAを「ひもを掛ける場所」につり下げます。
 ③ 片方のおもりを下に引きます。このとき、「ひもを引いた長さ」と「もう一方のおもりが持ち上がった高さ」を記録します。
 ④ もう一方のおもりを下に引き、③と同様に記録します。
 ⑤ それぞれのおもりを引いたときの力加減を比較し、記録します(重い、軽い、同じ、程度でよい)。


 Ⅱ 動滑車バージョンの実験
 ⑥ ひもA、ひもBを、下の写真のように準備します。

 ⑦ つながったひもA、B、おもり×2を、下の模式図のようにつり下げます。

 ⑧ ③から⑤と同じように、おもりを引き、長さ、高さ、力加減を記録します。

 ⑨ 定滑車バージョンの実験と動滑車バージョンの実験の違いがわかるようにまとめ、考察します。
   →これまでの課題に比べて、不親切な指示ですね。「どうやってまとめたらよいか」も自分で考えましょう!という課題です。



1時間目

本時の目標
 位置エネルギーが運動エネルギーに変わる様子を確認する!
 →少し手を加えて、考えさせる問題にしています。

この課題の出題意図
 力学的エネルギーの保存は、シンプルな法則であるがゆえに機械的に覚えてしまうことが少なくありません。しかし、どのエネルギーがどのエネルギーに変換され、その結果、合計が変化しないということを理解しなければ意味がありません。そのうえで、この課題は、一つひとつのエネルギーの移り変わりと運動の変化などを考える材料になると思われます。また、位置エネルギーの意味(定義)を理解する助けとなるでしょう。
 さらに、1週目の課題の添削から、多くの人が「説明せよ」という問いが苦手であることも明らかになってきましたので、練習の機会を増やせればと思います。

課題
 前回のクイズの正解は、次の動画のようになります。

 というわけで、「手前の球の方が早くゴールに着く」(選択肢ではB)でした。

 さて、ではなぜ手前の球の方が早くゴールに着くのでしょうか?その理由を自分なりに予想して説明してください。
 →正解を書こうとするのではなく(教科書的な説明をするのではなく)、「きっとこうじゃないかな?」と考えて書くのが大事です。
 →運動エネルギー(教科書p.143)、位置エネルギー(教科書p.144)、力学的エネルギーの保存(教科書pp.145~146)あたりを使って説明できると論理的な文章が書けます。